PRAKTIKUM STATISTIK RADIASI LATAR
( mengetahui frekuensi cacah latar yang terjadi , ketika jumlah cacah dalam 10 detik diukur 100 kali)
Pengukuran intensitas radiasi yang dilakukan secara berulang pasti akan memperoleh hasil pengukuran yang berbeda-beda. Sehingga dalam pengukuran intensitas radiasi harus dilakukan secara berulang, baik beberapa kali atau dalam selang waktu cukup panjang, yang berarti akumulasi nilai dari pengulangan waktu beberapa detik. Nilai ukur sebenarnya diduga berada di dalam rentang nilai rata-rata ± nilai simpangannya.
Sebagaimana perhitungan matematika biasa, nilai rata-rata dapat dihitung
Sebagaimana perhitungan matematika biasa, nilai rata-rata dapat dihitung
dengan persamaan berikut :
Sifat acak suatu pengukuran selalu mengikuti suatu distribusi tertentu, sebagai contoh eksperimen uang logam dan dadu di atas mengikuti distribusi binomial. Bila distribusi binomial tersebut mempunyai probabilitas sangat kecil maka akan berubah menjadi distribusi Poisson. Oleh karena aktivitas zat radioaktif bersifat acak maka intensitas radiasi yang terukurpun akan bersifat acak sehingga data hasil pengukurannya juga akan mengikuti distribusi Gauss atau poisson.
Distribusi poisson adalah
- Distribusi nilai-nilai bagi suatu variabel random X (X diskret), yaitu banyaknya hasil percobaan yang terjadi dalam suatu interval waktu tertentu atau di suatu daerah tertentu.
- Distribusi probabilitas diskret yang menyatakan peluang jumlah peristiwa yang terjadi pada periode waktu tertentu apabila rata-rata kejadian tersebut diketahui dan dalam waktu yang saling bebas sejak kejadian terakhir.
- Probabilitas lebih dari satu hasil percobaan yang terjadi dalam interval waktu yang singkat atau dalam daerah yang kecil dapat diabaikan. Selain itu, Distribusi poisson banyak digunakan dalam hal berikut:
- Rumus Pendekatan Peluang Poisson untuk Binomial
Apabila nilai harapan kejadian pada suatu interval adalah n, maka probabilitas terjadi peristiwa sebanyak m kali (m adalah bilangan bulat non negatif, k = 0, 1, 2, ...) maka sama dengan
dimana
e adalah basis logaritma natural (e = 2.71828...)
m adalah jumlah kejadian suatu peristiwa — peluang yang diberikan oleh fungsi ini
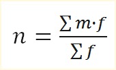
n adalah bilangan riil positif, sama dengan nilai harapan peristiwa yang terjadi dalam interval tertentu. jadi untuk nilai n yang memiliki frekuensi tertentu dapat dituliskan
Dimana f adalah frekuensi dari m. sedangkan m disini adalah cacah latar yang terjadi dalam selang waktu tertentu.
Grafik sebaran distribusi poisson :
| Perbandingan distribusi Poisson (titik hitam) dengan distribusi binomial dengan n = 10 (garis merah), n = 20 (garis biru), n = 1000 (hijau line). Semua distro memiliki rata-rata 5. Sumbu horizontal menunjukkan jumlah k acara. Perhatikan bahwa ketika n semakin besar, distribusi Poisson menjadi perkiraan semakin lebih baik untuk distribusi binomial dengan mean yang sama. |



EmoticonEmoticon